This website uses cookies to ensure you get the best experience
OK
CEO of FC “Viking” participated in the “Finam Authors Party”
September 15, 2023
On the 15th of September, CEO of FC “Viking” Vladislav Kamenskiy performed at the private event “Finam Authors Party”, which was organized by the authors of the “Finam Autofollowing” service. This service allows users to automatically reproduce trades of successful traders, authors of strategies, in real time on their personal account. It’s followed by hundreds of subscribers of the COMON service, which are seeking to repeat the success of the market leaders.
Communication with subscribers, building of stable long-term connections with them became the key topic of the event.
“Finam Authors Party” brought together strategies authors, each of which shared his life hacks about working with service subscribers. Amongst the performers - Sergey Trofimov, Nadezhda Averyanova, Emil Minnulin, Evgeniy Ni, Anton Polyakov, Sergey Popov. Authors have discussed management and development methods for strategies, found out how to communicate better with subscribers and make their own strategy as effective as possible. Most authors have mentioned that communication with subscribers is especially important in the moment of drawdown and other problems.
Thus, it is important that each author of this service has an ability to interact with subscribers directly. Authors also highlighted how essential it is to build relationships on the principles of transparency and trust, especially in the conditions of a highly volatile market.
Interaction with Vyacheslav Arbuzov, an expert in the statistical analytics field, left a great impression. His research on the relations between managers and their subscribers allowed to get deep insights about this topic.
Vladislav Kamenskiy and Vyacheslav Arbuzov
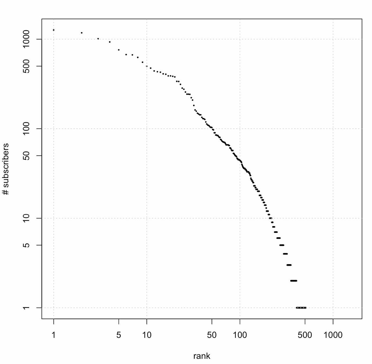
Pic.1
Distribution of the number of subscribers by authors
Most authors of strategies stop broadcasting their trades with time. The reasons for that are different, but the statistics show that if strategy continues to show positive results for more than 100 days, the subscribers number increases sharply. Therefore, after 9-12 months, authors can build a large audience, which is a great boost for further work.
Interesting facts and statistics
There was presented statistical data in the discussion process, which showed that the number of authors’ subscribers on the COMON portal does not always correlate with their financial success. It pointed to the importance of other factors, such as trust and loyalty of subscribers. Especially interesting was a comment about a situation, where authors keep their subscribers' trust, even if their profit decreases by 10% or more. (Pic.2)
Pic. 2 The ratio of profitability to the number of subscribers
Another highlight was one interesting idea that was born in the process of statistics research: if you will invest 10 000 rubles in every author, you can reach 0,2 of alpha value, which is a great indicator and a pretty promising strategy for investing. (Pic.3)
Pic. 3 Yield by subscribers and profit and loss of authors over the last 30 days.
During the “Finam Authors Party” not only questions about communication with the audience were discussed, but about competent risk-management, services’ updates tracking and profit increasing methods. Participants have exchanged ideas in the context of autofollowing and new technologies. Vladislav Kamenskiy has shared the achievements of FC “Viking” in the High-Frequency Trading field, statistical arbitrage and pair trading.
Along with the other participants of the meeting, Vladislav has raised questions about lack of liquidity at a time of foreign investors leaving and also about the necessity of adaptation and changing of the existing trading algorithms.
As far as we see, the “Finam Authors Party” became for its participants not only a source of new knowledge, but a source of inspiration for further work.
Irina Kamenskaya